Ces dernières années nous avons pu assister à l’émergence de soulevés de terre tout bonnement monstrueux ! Si ces lifts diffèrent par la technique utilisée (sumo ou traditionnel), ce qui nous intéresse ici, c’est la façon de saisir la barre ! Certains préfèreront utiliser une prise inversée (le Mixed Grip soit une main saisissant la barre en supination et l’autre main en pronation) tandis que d’autres favoriseront la technique de crochetage (encore appelé Hook Grip) qui consiste à placer les pouces entre la barre et l’index et le majeur afin de verrouiller la prise. D’autres choisiront même de simplement saisir la barre en double pronation… Seulement, cette dernière ne permet pas de soulever autant de poids que les deux autres car beaucoup plus exigeante pour les avant-bras.
Si le Mixed Grip et le Hook Grip n’ont plus à démontrer leur efficacité, l’une est-t-elle à privilégier par rapport à l’autre et si oui pour quelles raisons ?
On l’oublie souvent mais la logique et le bon sens constitue souvent une bonne raison d’adopter certains comportements ! Qui voudrait finir blessé des suites d’une séance de soulevé de terre ? A priori personne ! Pourtant nombreux sont les pratiquants à privilégier une prise inversée… Et il se trouve que cette prise met sous tension le biceps de la main qui saisi la barre en supination et lorsque cette tension devient supérieure à ce que peut supporter le biceps, c’est le drame ! On retrouve d’ailleurs énormément de compilations d’athlètes s’étant déchiré le biceps sur Internet. Cependant si l’envie de risquer ton biceps te convient, sache que les chirurgies réparatrices sont très bien réussies et permettent de récupérer une fonction quasiment, si ce n’est, normale !
Un moyen de minimiser ce risque de blessure (autre que d’adopter le Hook Grip bien sûr) est de régulièrement changer la main qui vient en supination et ce malgré ta main de préférence. Cela limitera également le développement d’asymétries pouvant également induire des blessures sur le long terme… Ou tu pourrais utiliser des lanières (straps) sur les séries plus longues afin de pas sursolliciter tes biceps et de travailler le côté gauche et droit de la même manière. Le seul avantage prodigué par cette prise est qu’il est plus facile de créer de la tension dans les dorsaux. Muscles qui sont très importants pour le maintien d’une position neutre du dos lors de soulevés lourds.
Quels avantages pour le Hook Grip ?
Outre la symétrie de la prise, le Hook grip demande moins de force absolue dans les avant-bras pour soulever une charge. En effet, le pouce étant bloqué entre la barre et le majeur et l’index, il y peu de chance que cette prise vienne à lâcher : plus la charge sera importante, plus elle viendra écraser le pouce contre la barre ce qui verrouillera davantage la prise. Moins de temps d’entraînement peut être dédié au renforcement de la force de préhension au profit du développement d’autres qualités.

Un autre avantage prodigué par l’utilisation de la technique de crochetage de la barre est la hauteur de la barre dans la main. En effet, la barre venant ‘’écraser’’ le pouce, elle sera placée plus bas dans la main. Même si c’est de l’ordre du centimètre, cela réduit le travail (W= F*d) total à effectuer lors d’un soulevé de terre en réduisant la distance sur laquelle monter la charge. Et si nous raisonnons sur l’aspect énergétique du mouvement malgré le fait que je sais que vous exécrez la physique, vous vous rendrez compte que c’est bien plus avantageux. Comme j’imagine que vous avez eu l’occasion de vous en rendre compte, nous possédons une quantité d’énergie finie (nous fatiguons donc). Le travail que nous pouvons dès lors fournir est lui aussi fini et dépend de la quantité d’énergie que nous pouvons lui allouer. Donc pour une même quantité d’énergie, si la distance à parcourir est plus courte, nous pouvons produire une force plus grande. Enfin en théorie !
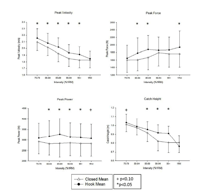
Le dernier intérêt et non des moindres que prodigue l’utilisation du Hook Grip est qu’il permet de soulever une charge plus importante en Power Clean que lorsqu’une simple prise en double pronation est utilisée. Effectivement, comme montré dans la figure ci-dessous, la force, la vitesse, et donc logiquement la puissance (car P=F*V) ainsi que la hauteur à laquelle est tirée la barre sont plus importante. L’augmentation de ces variables résulte en une plus grande capacité à soulever des charges importantes sur le mouvement d’épaulé debout (Power Clean)[1]. Si l’incidence du Hook Grip sur les résultats sur l’arraché (Snatch) et l’épaulé flexion (Clean) ne semble pas encore avoir été étudié, les résultats devraient sensiblement être les mêmes : la réussite du soulevé dépendant grandement de la hauteur de la barre et de la capacité de l’athlète à passer dessous. Si la barre atteint une hauteur plus importante, il sera plus aisé pour l’haltérophile de passer dessous ![2]

Si pour les dynamophiles et les adeptes du soulevé de terre les avantages du Hook grip s’arrêtent là, son intérêt pour les haltérophiles et CrossFiters est tout autre !
Leur sport est assez particulier car est très exigeant sur les capacités que doit avoir un athlète : ce dernier doit être endurant, fort, puissant, souple, agile, précis et encore d’autres qualités dont je n’ai plus le souvenir… Cela se transpose directement dans leur façon de s’entraîner : on leur demandera d’enchaîner des mouvements d’haltérophilie avec un minimum de repos et dans le laps de temps le plus court. La meilleure manière d’y arriver est de lâcher la barre le moins de fois possible ! Si 2 ou 3 répétitions ne vont pas être un gros défi, enchaîner 15 à 20 répétitions va être plus compliqué… Imaginons que la technique soit stabilisée et correcte et que le poids soit suffisamment léger pour que le dos ou les jambes ne soient pas le facteur limitant pour enchaîner les répétitions. Il y a beaucoup de chance que ce soit la prise qui pose un problème. Adopter le Hook Grip épargnera leur avant-bras et permettra de relâcher les bras et de se servir des hanches correctement. De plus, garder le Hook va leur permettre de ne pas devoir réajuster leur prise entre chaque répétition et donc à terme va leur permettre de gagner du temps. Ce qui est l’objectif en CrossFit ! La recherche du moyen le plus efficient de réaliser une tâche devrait être leur priorité !

Et les désavantages ?
Le seul désavantage du Hook Grip est que son apprentissage soit assez douloureux ! D’ailleurs cet aspect douloureux disparaît assez vite en haltérophilie car les charges déplacées ne sont pas très lourdes en comparaison de celles mûes lors du deadlift. Il faudra donc laisser ressortir son côté sado-maso pour adopter le Hook Grip lors d’une séance de soulevé de terre haute en volume. Mais comme rien n’est jamais perdu en entraînement, cela forge le caractère !
Tu es dorénavant un expert de la technique de crochetage et j’espère que tu en feras bon usage !
[1] https://www.ncbi.nlm.nih.gov/pubmed/30204518
[2] Weightlifting Technique Triad : Exercise Classification & Selection by Max Aita




